Die einfachste Bewegung ist die gleichförmige geradlinige Bewegung. Bei einer gleichmäßig beschleunigte Bewegung ist die Beschleunigung konstant.

Gleichmassig Beschleunigte Bewegung
2 DINA4Blätter Fallröhre Münze.
Beschleunigung gleichförmige bewegung. Ist a die Beschleunigung des Körpers t die seit dem Start der Bewegung vergangene Zeit. Fällt die Beschleunigung auf Null erhältst du die gleichförmige Bewegung. Die Beschleunigung hier ist gleich Null.
Die Veränderung kann sowohl eine Beschleunigung als auch eine Verzögerung sein. Formel für gleichförmige Bewegung. Was heißt eigentlich Von 0 auf 100 in 6 Sekunden.
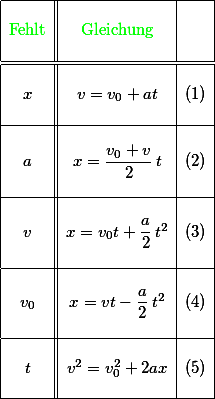
Melde Dich kostenlos an und nutze weitere Funktionen. Bewegt sich ein Körper gleichmäßig beschleunigt dann gilt. Bei gleichförmig beschleunigten Bewegungen ist die Beschleunigung eine konstante Funktion die Geschwindigkeit eine lineare Funktion und der Weg eine quadratische Funktion.
Eine gleichmäßig beschleunigte Bewegung liegt vor wenn sich bei einem Körper die Geschwindigkeit in jeweils gleichen Zeiten in gleichem Maße ändert wenn also der Betrag der Beschleunigung. Hier legt ein Körper in gleichen Zeitabständen gleich große Strecken zurück. A k o n s t a n t.
Stahlkugel Stativmaterial Uförmige Schiene oder 2 Stativ stäbe als Schiene Länge ca. Ist die Richtung der Bewegung und der Beschleunigung gleich so ist es eine geradlinige Bewegung. Bei der gleichmäßig beschleunigten Bewegung handelt es sich um eine Bewegung deren Stärke sowie Richtung konstant sind.
Gleichförmige Bewegungen - einfach erklärt. Bei einer ungleichförmigen Bewegung wird ein Körper mit einer sich verändernden Geschwindigkeit bewegt. Bei gleichförmig beschleunigten Bewegungen ist die Beschleunigung eine konstante Funktion die Geschwindigkeit eine lineare Funktion und der Weg eine quadratische Funktion.
Wird man beim Beschleunigen wirklich immer schneller. In der Mechanik ist es Ziel neben den Kräften in einem System auch die Bewegungen von Körpern zu beschreiben da die Bewegungen meist auch mit Kräften zu tun haben. Eine bekannte Größe ist zB.
Aufziehbares Spielzeugauto oder Modelleisenbahn Metronom Steine oder Holzklötzchen Lineal Die beschleunigte und verzögerte Bewegung. Die Beschleunigung a des Körpers ist während der gesamten Bewegung konstant. Uhrzeiger Auto welches mit konstanter Geschwindigkeit fährt etc.
Die Geschwindigkeit bleibt gleich. Ist Bremsen denn auch Beschleunigen. Neben der gleichförmigen Bewegung gibt es noch die gleichmäßig beschleunigte Bewegung.
Als Beschleunigung bezeichnet man die Änderung der Geschwindigkeit mit der Zeit. 15 m und Auffangbehälter Metronom Steine oder Holzklötzchen Lineal Der freie Fall.

Gleichmassig Beschleunigte Bewegung

Aufgaben Zu Gleichmassig Beschleunigte Bewegungen

Die Gleichmassig Beschleunigte Bewegung Ppt Herunterladen

Beschleunigung Gleichmassig Beschleunigte Bewegung Physik Mechanik Lehrerschmidt Youtube

Mechanik Kinematik Beschleunigte Bewegung Mit Anfangsgeschwindigkeit
Gleichmassig Beschleunigte Bewegung Mit Konstanter Impulsanderung Schulphysikwiki
Untersuchung Einfacher Bewegungen
Https Beuche Info Physik9 Kontrolle4 Pdf

Zusammenfassung Bewegung Leichter Unterrichten
Beschleunigung Zeit Diagramm A T Diagramm Zeichnen

Gleichmassig Beschleunigte Bewegung
![]()
Gleichmassig Beschleunigte Bewegung Einfach Erklart Mit Video Mit Video

Gleichmassig Beschleunigte Bewegungen Die Speziellen Bewegungsgleichungen Kinematik Physik Youtube

Gleichmassig Beschleunigte Bewegung

Bewegungen In Der Mechanik Physik Verstehen Mit Lecturio

Beschleunigung Berechnung Und Beispiel Mit Video
Http Dodo Fb06 Fh Muenchen De Kersch Vorkurs 6 Kinematik Pdf
![]()
Gleichmassig Beschleunigte Bewegung Wikiwand
![]()
Himmelsgesetze Der Bewegung Diagramme Der Geradlinigen Bewegung Wikibooks Sammlung Freier Lehr Sach Und Fachbucher

Die Beschleunigte Bewegung Beschleunig Youtube

Gleichmassig Beschleunigte Bewegung Weg Zeit Diagramm

Bewegungen In Der Mechanik Physik Verstehen Mit Lecturio
![]()
Gleichmassig Beschleunigte Geradlinige Bewegung In Physik Schulerlexikon Lernhelfer
Die Gleichmassig Beschleunigte Bewegung Berechnen

Gleichmassig Beschleunigte Bewegung Einfach Erklart Mit Video Mit Video

Bremsvorgang Gleichmassig Verzogerte Bewegung Inkl Ubungen

Was Ist Der Unterschied Zwischen Diesen Bewegungen Physik Schule Bewegung

Gleichmassig Beschleunigte Bewegung Und Beschleunigung
Die Geradlinige Gleichformige Bewegung Phynet

Zusammengesetzte Bewegungen Mathe Brinkmann

Die Gleichmassig Beschleunigte Bewegung Minus P Halbe
Gleichmassig Beschleunigte Bewegung Mit Konstanter Impulsanderung Schulphysikwiki

Gleichformige Bewegung Formel Und Beispiel Mit Video
Https Physikdidaktik Com Wp Content Uploads 2019 08 Marlenekirchner Handreichung Pdf

Physik Mechanik Stop And Go Mechanik Physik Telekolleg Br De

Bewegungen Uberblick Erklarung Ubungen
![]()
Weg Zeit Diagramme In Physik Schulerlexikon Lernhelfer

Gleichmassig Beschleunigte Bewegung
Die Geradlinige Gleichmassig Beschleunigte Bewegung Phynet
Geschwindigkeit Gleichformige Bewegung

Verzogerte Bewegung Bremsweg Berechnen Alle Formeln Online Rechner Simplexy

Physik Gleichmassig Beschleunigte Bewegung Danke
Die Gleichmassig Beschleunigte Bewegung Berechnen
![]()
Formel Gleichmassig Beschleunigte Bewegung Strecke Beschleunigung Geschwindigkeit Zeit

Beschleunigung Berechnung Und Beispiel Mit Video

Ubersicht Unbeschleunigte Bewegung Gleichmassig Beschleunigte Bewegung Unterrichtsmaterial Im Fach Physik In 2021 Physik Lernen Physik Schulmotivation

Woher Weiss Man Bei Der Gleichmassig Beschleunigten Bewegung Welche Formel Man Nehmen Muss Schule Physik Mechanik
Ubersicht Unbeschleunigte Bewegung Gleichmassig Beschleunigte Bewegung Unterrichtsmaterial Im Fach Physik
Kostenlos Strukturlegen Gegenuberstellung Gleichformige Bewegung Und Gleichmassig Beschleunigte Bewegung Kinematik Losung Unterrichtsmaterial Im Fach Physik

Gleichbleibende Und Beschleunigte Bewegungen 1 Tec Lehrerfreund

Bewegungen Mit Konstanter Beschleunigung Grundwissen Physik

Formeln Der Gleichmassig Beschleunigten Bewegung Schule Mathe Physik

Beschleunigte Bewegung Gleichformige Bewegung Formel
Gleichformige Geradlinige Bewegung In Physik Schulerlexikon Lernhelfer
Http Dodo Fb06 Fh Muenchen De Kersch Vorkurs 6 Kinematik Pdf

Geschwindigkeit Berechnen Bei Ungleichformiger Bewegung

Unterschied Gleichformig Und Gleichmassige Bewegungen Youtube

3 Gleichmassig Beschleunigte Bewegung Bewegung Mit Konstanter
Die Gleichformige Geradlinige Bewegung

Gleichmassig Beschleunigte Bewegung Youtube
Https Www School Scout De Vorschau 43724 Lernwerkstatt Mechanik Der Bewegungen Eine Einfuehrung Pdf
![]()
Himmelsgesetze Der Bewegung Diagramme Der Geradlinigen Bewegung Wikibooks Sammlung Freier Lehr Sach Und Fachbucher

Gleichmassig Beschleunigte Bewegung Nicht Aus Der Ruhe Ubungsaufgaben Mit Losungen Bewegung Formel V Ubung

Mechanik Gleichformige Und Gleichmassig Beschleunigte Bewegungen Losung Aufgabe 3

Die Gleichmassig Beschleunigte Bewegung Ppt Herunterladen

Mechanik Gleichformige Und Gleichmassig Beschleunigte Bewegungen Losung Aufgabe 3
Https Www Uni Muenster De Imperia Md Content Physik Ap Nlol Physika1213 Folien Vl4 2012 10 16 Pdf

Die Gleichmassig Beschleunigte Bewegung Ppt Herunterladen

Quiz Zur Beschleunigten Bewegung Leicht Leifiphysik

Gleichformige Bewegung Wikipedia

Mechanik Gleichformige Und Gleichmassig Beschleunigte Bewegungen Losung Aufgabe 3
Physikalische Formeln Nanolounge
Mechanik 3 Gleichformige Beschleunigte Bewegung 6 Ka Mit Losungswegen Unterrichtsmaterial Im Fach Physik

Pmb190 Formeln Zur Mechanik Der Bewegungen
Gleichmassig Beschleunigte Bewegung

Gleichmassig Beschleunigte Bewegung

Ubersicht Gleichformige Und Gleichmassig Beschleunigte Bewegung Auch Als Puzzle Physik Lernen Physik Und Mathematik Mathematik Lernen
![]()
Gleichmassig Beschleunigte Bewegung Wikipedia

Was Hier Von Ist Die Gleichformige Bewegung Und Die Gleichmassig Beschleunigte Bewegung Physik Beschleunigung

Gleichmassig Beschleunigte Bewegung Einfach Erklart Studysmarter
Untersuchung Einfacher Bewegungen

Bewegungen Mit Konstanter Beschleunigung Grundwissen Physik

Ubung Gleichformige Bewegung Gleichmassig Beschleunigte
![]()
Gleichmassig Beschleunigte Bewegung Physik Schule

Zusammengesetzte Bewegungen Mathe Brinkmann

Die Gleichmassig Beschleunigte Bewegung Mathe Brinkmann
Geradlinige Gleichmassig Beschleunigte Bewegung Nanolounge



